BioLight

Guardian+ Oral Device with Patent-Pending Blue & Red/NIR Light for Teeth Whitening & Oral Health

$399.00

In stock - Ready to be shipped

Estimated Delivery between March 02 and March 04.

 

The Guardian+ is the very first oral device of its kind, with patent-pending technology that implements BOTH blue light red/NIR light so you can safely whiten your teeth while also receiving the benefits of red light therapy!


The Guardian+ is designed to provide the most consistent coverage of light in the mouth by incorporating the blue light LEDs in the top row & red/NIR (NIR = near-infrared) light LEDs in the bottom row (see pictures above). This means you conduct half of your treatment & then rotate the device 180-degrees for the second half of the treatment (if you are wanting to treat both the top & bottom of your mouth). 


With the Guardian+, you also have the ability to choose three light settings: blue/RLT combo, blue light only or RLT only – this gives you the flexibility to carry out teeth whitening or RLT treatments only, if you prefer.



Oral Health & Blue Light Therapy

Blue light is notorious for whitening teeth, but it also provides other valuable oral health benefits as well, such as:

  • Selectively killing harmful bacteria
  • Gum health

 

One of the biggest advantages of blue light therapy (BLT) over bactericides like mouthwashesantibiotics, is that BLT selectively targets the harmful bacteria implicated in infections. This means that blue light selectively kills harmful bacteria while leaving the beneficial bacteria unscathed & thriving, leading to an optimized oral microbiome!


Included with the Guardian+ are three 2-oz. Teeth Whitening Gel Pens, which utilizes carbamide peroxide (CP) at a 36% concentration. Choosing CP at 36% concentration is important for two reasons:

  • CP has been shown in the research to whiten teeth significantly faster when compared to the more common (and less expensive) ingredient, hydrogen peroxide (HP). They are equally safe to use in the human mouth.
  • A higher concentration of CP leads to further accelerated teeth whitening. Most CP concentrations use on the market are 6 - 18%. Once again, safety is not compromised with a higher CP concentration.


Other imporant aspects of CP over HP include:

  •  A longer shelf-life
  •  Does not require refrigeration
  •  Is slower acting & therefore less aggressive on soft tissues such as lips & gums


Teeth Whitening Gel Pen ingredients: propylene glycol, vegan- & GMO-free glycerin, hydrogen peroxide, urea peroxide, carbomer, triethanolamine, mint flavor (peppermint oil & menthol), disodium EDTA


** Additional gel pens can be purchased here! **


If you want to learn about the research behind blue light therapy & its impact on teeth whitening & oral health, listen to this episode of The Red Light Report.



Oral Health & Red Light Therapy

There is scientific literature on red light therapy & oral health that is very robust, indicating a multitude of uses that includes the following:

  • Gum health/gum pain
  • Infections & inflammation
  • Post-surgical healing & recovery
  • Periodontal wound healing
  • Gingivitis
  • Cold sores & herpes
  • Oral mucositis
  • And MORE!


Not only can red light therapy help you heal & recover from the aforementioned conditions, but it can also help you maintain optimal oral hygiene by modulating inflammation, improving circulation & boosting the health & function of the mitochondria. Learn more about red light therapy & its impact on oral health by checking out the Learn page here!


Guardian+ Specs

  • Wavelength: 460nm (blue light), 630nm (red light) & 850nm (NIR light)
  • Light irradiance @ 0": Blue light2.2 mW/cm²; Red/NIR light = 1.2 mW/cm²
  • Lens Beam Angle: 120°
  • Automated 5-minute timer
  • Magnetic USB charging (Full charge lasts over 2.5 hours)
  • Flexible BPA-free silicone mouthpiece
  • Waterproof design


Includes

  • Guardian+ device
  • Teeth Whitening Gel Pen, 2 oz. (x3)
  • USB magnetic charging cord
  • Storage case
  • User manual


**ONCE THE GUARDIAN+ HAS BEEN USED, IT CANNOT BE RETURNED DUE TO HYGIENIC, SANITARY REASONS**

 

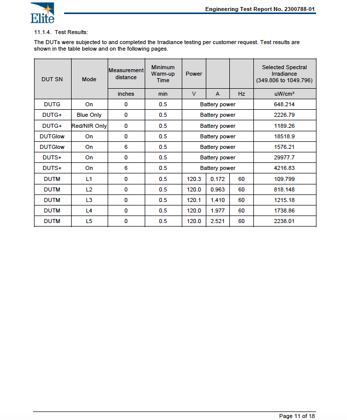
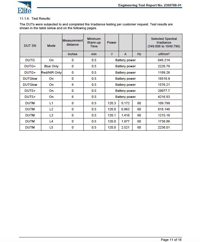
Third Party Test Results


Add clear and customizable content:

  • Provide detailed information to give users more clarity.
  • Use metafields to customize information.

Share information about your brand with your customers. Describe a product, make announcements, or welcome customers to your store.

Pay with

  • Amazon
  • American Express
  • Apple Pay
  • Diners Club
  • Discover
  • Google Pay
  • Mastercard
  • PayPal
  • Shop Pay
  • Venmo
  • Visa

Your transaction is protected with advanced security measures to keep your information confidential

Add clear and customizable content